Witam,
z góry chciałbym zaznaczyć, że jestem całkowicie początkujący w Delphi, dostałem zadanie aby zrobić funkcję obliczającą długość odcinka na podstawie podanych współrzędnych. Ogólnie mniej więcej wiem jak to zrobić -
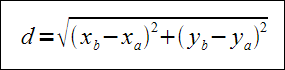
X=(a,b)
Y=(c,d)
|XY|=√ (c-a)²+(d-b)²
Tylko teraz kiedy deklaruję 'a' jako pole tekstowe - a:=StrtoCurr(Edit1.Text); oraz 'b' 'c' i 'd' tak samo to co mam zrobić żeby X=(a,b) bo po wpisaniu X:=(A,B); wyskakuje błąd kompilatora - ')' expected but ',' found. Oraz jak później przekształcić ten wzór na długość odcinka tak aby program go zrozumiał. Proszę o wyrozumiałość jeśli zadaję jakieś pytanie banalne pytanie ale na prawdę chciałbym aby mi to ktoś wyjaśnił.
Pozdrawiam
Długość odcinka w układzie współrzędnych.
- Rejestracja: dni
- Ostatnio: dni
- Postów: 1
0
- Rejestracja: dni
- Ostatnio: dni
- Lokalizacja: Łódź
- Postów: 648
0
Wyjaśni ci to kurs. Przeczytaj jakiś.
- Rejestracja: dni
- Ostatnio: dni
- Lokalizacja: Wrocław
- Postów: 13042
0
Poczytaj o TPoint, chociaż tutaj jest kompletnie zbędne...
- Rejestracja: dni
- Ostatnio: dni
- Lokalizacja: Tuchów
- Postów: 12270
0
@chudy701 - wzór na długość odcinka jest bardzo prosty:

Źródło: http://www.bazywiedzy.com/wzor-na-dlugosc-odcinka.php
Do tego zamiast deklarować cztery zmienne liczbowe - wykorzystaj typ TPoint z modułu Types; Rekord ten zawiera pola X i Y, więc wystarczą Ci dwie zmienne; Wtedy będziesz mógł wpisać jedną instrukcją obie wartości do zmiennej, ale będziesz musiał wykorzystać do tego specjalną funkcję Point, także z modułu Types;
Jeśli o obliczenia chodzi, to jest to czysta matematyka - wykorzystaj funkcje Sqr i Sqrt.